O verão é sempre acompanhado pelo pensamento de curtir o máximo possível depois de um ano cheio de responsabilidades. E exatamente por esse motivo nos esquecemos de zelar pela nossa saúde, e nesse calor a desidratação pode nos afetar e muito!
Neste artigo vamos abordar como curtir o verão sem se esquecer de cuidar do nosso bem-estar, afinal passar mal pode acabar com suas férias!
O que é a desidratação?
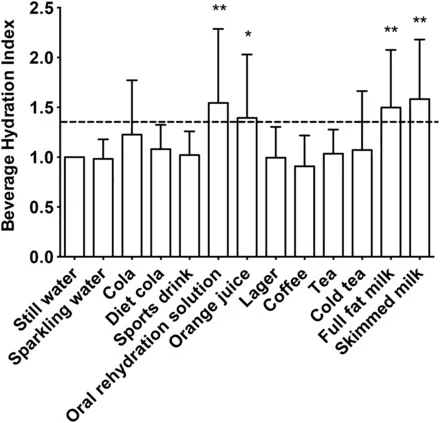
Ela ocorre quando o corpo perde mais líquidos e eletrólitos do que gasta. A água é um dos elementos mais puros que o organismo pede para funcionar, porém alguns outros podem auxiliar na hidratação. A seguir temos um estudo mostrando quais os líquidos que mais hidratam, feito pelo The American Journal of Clinical Nutrition.

Tradução da esquerda para a direita:
- Água sem gás
- Água com gás
- Refrigerante de cola
- Refrigerante de cola diet
- Bebida esportiva (Isotônico)
- Soro de reidratação oral
- Suco de laranja
- Cerveja (Lager)
- Café
- Chá
- Chá gelado
- Leite integral
- Leite desnatado
Conforme podemos observar, diversos líquidos podem ajudar na hidratação, mas um ponto importante é que a água sempre é o líquido mais puro que o corpo pede para a manutenção da desidratação.
Pois ela é absorvida rapidamente pelo intestino, não contém açúcar, gordura, cafeína ou aditivos que possam retardar a hidratação e vai direto para as funções essenciais do corpo, como a circulação, regulação da temperatura, transporte de nutrientes e eliminação de toxinas.
Alguns líquidos apontados no estudo merecem atenção, como a cerveja lager. Ela é composta majoritariamente por água, porém o álcool inibe o hormônio antidiurético (ADH), fazendo você urinar mais e consequentemente se desidratar mais rápido.
Existem também outros motivos para a desidratação, como por exemplo:
- Excesso de suor
- Vômitos e diarreia
- Febre
- Uso de álcool ou muito cafeína
- Jejum prolongado sem reposição hídrica
Os sintomas da desidratação
Os sintomas da desidratação mais comuns a maioria já conhece, sede, boca seca, dor de cabeça, tonturas, mal- estar e urina escura em menor volume. Conforme ela avança os sinais vão se agravando, podendo ocorrer problemas graves, como:
- Fraqueza
- Confusão mental
- Batimentos acelerados
- Queda de pressão
- Diminuição do suor (importante para regular a temperatura do corpo)
- Pele menos elástica
- Os órgãos trabalham mais, principalmente os rins, causando estresse
Caso tenha alguma dessas manifestações, o ideal é se hidratar e procurar auxílio profissional, e com o Olá Doutor sua consulta é sem filas, sem ligar a câmera e sem sair de casa, baixe o app e consulte um médico agora mesmo.
Como evitar a desidratação?
A dica principal de como evitar a desidratação é beber água. Se hidrate ao longo do dia, mesmo que não esteja sentindo sede em determinados momentos, é melhor ingeri-la aos poucos diariamente do que tentar beber tudo de uma vez só.
De manhã já inicie sua rotina com ao menos um copo de água, em dias quentes procure consumir mais líquidos que hidratam de forma saudável. Após treinos e corridas é importante manter a hidratação.
Outro modo de verificar se o corpo está hidratado é através da cor da urina, se estiver com cor clara ou amarelo-dourado, significa que está tudo certo, caso esteja mais escura pode ser falta de água ou até mesmo outros problemas, se possível procure um médico generalista.
Além de se hidratar, temos mais um ponto importante, evitar alimentos e bebidas que vão desidratar você. Por exemplo, comidas ricas em sódio, como salgadinhos, petiscos, embutidos, entre outros.
Eles aumentam a concentração de sal no sangue e o corpo tenta equilibrar isso puxando água das células, estimulando a eliminação de líquidos pelos rins.
No caso de bebidas alcoólicas, elas podem inibir o hormônio que controla a retenção de fluidos, e como resultado você vai urinar mais e isso acelera a perda de líquidos e eletrólitos. Então procure ingerir água para tentar compensar a desidratação que o álcool vai trazer.
E caso você esteja pensando que beber muita água deixa o corpo inchado, saiba que isso é um mito, e ocorre o oposto, a falta dela faz com que você retenha líquidos como reserva, aumentando a sensação de “estufado”.
Caso esteja com esses indícios, leia nosso artigo sobre os sintomas e causa do inchaço.
Agora que você já sabe como evitar a desidratação, vai conseguir curtir seu verão muito melhor!
Como se consultar com o Olá Doutor
No Olá Doutor as consultas ocorrem de forma rápida, prática e segura. Podem ser realizadas através da telemedicina, pelo nosso aplicativo, bastando informar os seus sintomas, a preferência de especialidade pela qual deseja ser avaliado e em seguida você já é atendido por um médico com CRM ativo.
Baixe agora o app e tenha uma experiência imediata, sem burocracia e no conforto da sua casa.